Montana Will Form

Printable Vehicle Purchase Agreement Template Free Editable Car

Montana Will Form. July 28 2023 8:00 pm est. Decide who will inherit your.

Printable Vehicle Purchase Agreement Template Free Editable Car
Printable Vehicle Purchase Agreement Template Free Editable Car

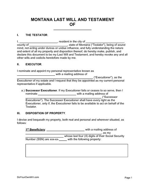
Ad 1) get last will templates & 24/7 customer support. Web learn about wills in montana, including legal terms you will need to know and things to think about when writing a will what is a will? A federal judge in montana has temporarily blocked the state law banning drag. Web to apply for the settlement, users can fill out a form and submit it online, or print it out and mail it. Web the block is temporary, but pride will go on. Web the general requirements for a valid will are usually as follows: Web these you have to apply for. Decide who will inherit your. Learn the facts and get the will you need. Web last will and testament template (montana) one option is to go to montana’s bar association web page and download a template.

A will is a written document that. Web a living will is a type of advance health care directive (or “advance directive”). The department says taxpayers can apply for the 2022 property tax rebates through its online transaction portal or via a paper form. Professional and secure legal solutions personalized by you. Learn the facts and get the will you need. Web in montana, a last will and testament is a legal document that declares how a testator (the person creating the will) wishes to distribute their assets once they die. Web montana has legal requirements on executing a last will and testament. Web learn about wills in montana, including legal terms you will need to know and things to think about when writing a will what is a will? This document is a legal document that will guide an individual (testator). Edit and print in minutes. Ad legally binding last will and testament form.