Point Slope Form With Fractions

Slope INB Pages Mrs. E Teaches Math

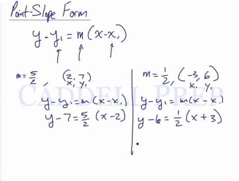
Point Slope Form With Fractions. This form is derived from the slope formula. Here, m = − 1 2 , x 1 = − 3 , and y 1 = 2 , so the equation is:

Slope INB Pages Mrs. E Teaches Math
Slope INB Pages Mrs. E Teaches Math

The calculator also has the ability to provide step by step solutions. One point on the line: Arranging equations in a particular format gives us insight into specific features of an equation. Click on the ‘solve’ button to obtain the point slope form and the graph of the line. Web please follow the steps given below to find the equation of a line using the point slope form calculator: Y − y 1 = m (x − x 1) the equation is useful when we know: The equation of a line with a given slope and with a given point is found using the point slope form. Click the blue arrow to submit. Y+1 = 1 2 ∗(x −5) y + 1 = 1 2 ∗ ( x − 5). Point slope formula the point slope form formula is used to find the equation of a line.

Have a play with it (move the point, try different slopes): This form is derived from the slope formula. M, and want to find other points on the line. Go to cuemath's online point slope form calculator. Enter the coordinate of a point and the slope of a line(m) into the respective input boxes. Try working it out on your own. Here, m = − 1 2 , x 1 = − 3 , and y 1 = 2 , so the equation is: One point on the line: Intro to linear equation standard form (opens a modal) graphing a linear equation: Note that the equation should not include fractions or decimals, and the x coefficient should only be positive. Click on the ‘show steps’ button to understand the stepwise method to graph and write in the standard form.