Complex Math Question

Complex Math Equations That Blew the Mind Cook It

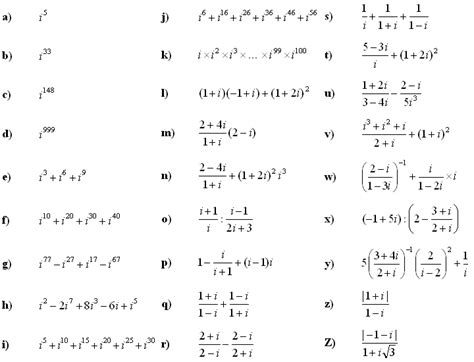
Complex Math Question. Perform the indicated operation and write your answer in standard form. Web section 1.7 :

Complex Math Equations That Blew the Mind Cook It
Complex Math Equations That Blew the Mind Cook It

Web want to know what makes these questions so difficult and how best to solve them? Perform the indicated operation and write your answer in standard form. Web test your understanding of complex numbers with these % (num)s questions. Web section 1.7 : If you're ready to really sink your teeth into.

Web want to know what makes these questions so difficult and how best to solve them? If you're ready to really sink your teeth into. Web section 1.7 : Web want to know what makes these questions so difficult and how best to solve them? Perform the indicated operation and write your answer in standard form. Web test your understanding of complex numbers with these % (num)s questions.