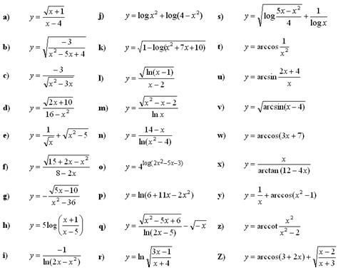
Domain And Range Math Problems

Domain and Range Math, Algebra, functions, F.IF.1 ShowMe

Domain And Range Math Problems. What is the range of a function? Web what is the domain of a function?

Domain and Range Math, Algebra, functions, F.IF.1 ShowMe
Domain and Range Math, Algebra, functions, F.IF.1 ShowMe

Web what is the domain of a function? What is the range of a function? Domain and range from graph. [2, ∞) 4) domain :

[2, ∞) 4) domain : What is the range of a function? Web what is the domain of a function? Domain and range from graph. [2, ∞) 4) domain :