Math Elimination Problems

Algebra 37 Solving Systems of Equations by Elimination Abode of

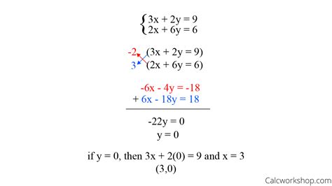
Math Elimination Problems. Algebra 1 > unit 6. Web you can use this elimination calculator to practice solving systems.

Algebra 37 Solving Systems of Equations by Elimination Abode of
Algebra 37 Solving Systems of Equations by Elimination Abode of

Web you can use this elimination calculator to practice solving systems. Algebra 1 > unit 6. Systems of equations with elimination:. Solving systems of equations with elimination.

Systems of equations with elimination:. Algebra 1 > unit 6. Web you can use this elimination calculator to practice solving systems. Solving systems of equations with elimination. Systems of equations with elimination:.