What Is A Partial Sum In Math

reference request General technique to find partial sum formula for

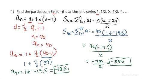
What Is A Partial Sum In Math. Web the partial sum method in math involves calculating the partial sums of one place value column at a time and then adding all.

reference request General technique to find partial sum formula for
reference request General technique to find partial sum formula for

Web the partial sum method in math involves calculating the partial sums of one place value column at a time and then adding all.

Web the partial sum method in math involves calculating the partial sums of one place value column at a time and then adding all. Web the partial sum method in math involves calculating the partial sums of one place value column at a time and then adding all.