Sublease Template California

Download Free California Sublease Agreement Printable Lease Agreement

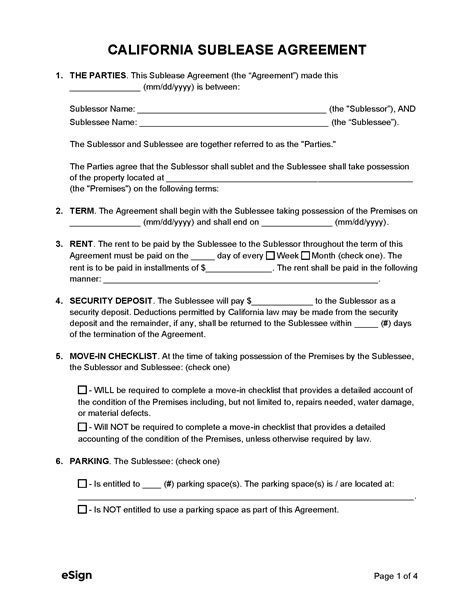
Sublease Template California. The premises subject to the sublease is a/an (check one) apartment condominium ☐ room _____________ with:. Web a california sublease agreement is used when a tenant renting a property wants to lease the property to someone else, a.

Download Free California Sublease Agreement Printable Lease Agreement
Download Free California Sublease Agreement Printable Lease Agreement

Web use our california sublease agreement form to sublet to a new tenant. Web california sublease agreement. Web fill out the california sublease agreement template pdf form for free! Web california sublease agreement i. Ad answer simple questions to make a sublease agreement on any device in minutes. Name of sublessor (sublandlord)/name of. Web 21 days of the termination of sublessee’s tenancy. Web a california sublease agreement is used when a tenant renting a property wants to lease the property to someone else, a. Keep it simple when filling out your california. Updated january 3, 2023 | legally.

Web california sublease agreement template. The premises subject to the sublease is a/an (check one) apartment condominium ☐ room _____________ with:. Updated january 3, 2023 | legally. Web california sublease agreement template. Web download an official california residential lease agreement template. Web 21 days of the termination of sublessee’s tenancy. Web a california sublease agreement should include the following sections: Ad answer simple questions to make a sublease agreement on any device in minutes. Web updated august 30, 2023. Keep it simple when filling out your california. The term of the sublease will be for a period of ___________ months, beginning on _________________ and ending.